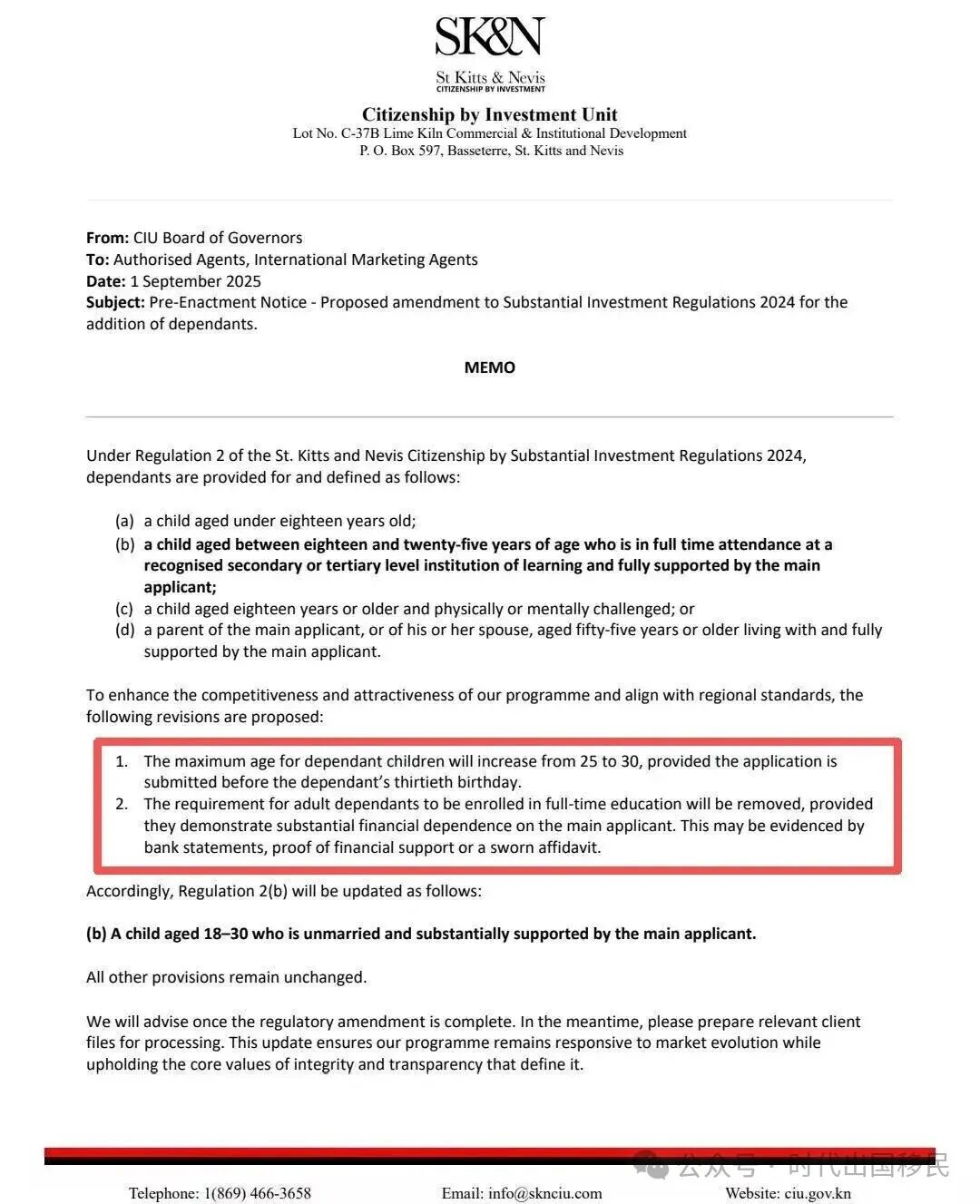
2025 年,圣基茨与尼维斯投资入籍(CBI)计划迎来多项重大更新,涵盖附属申请人资格、审核流程、投资方式及未来居住要求等核心维度。
不仅将附属子女年龄上限放宽至 30 岁、全面取消成年子女学历要求,还上线 Saturn 数字审核平台缩短审批时间,并首次开放加密货币投资渠道。
这些调整被业内视为 “里程碑式优化”,既贴合现代家庭需求,也进一步巩固了其在全球投资入籍市场的竞争力,同时,未来居住要求的即将落地,更让当前成为政策 “甜蜜期”,机遇窗口亟待把握。

此次 CBI 计划升级覆盖申请资格、审核效率、投资形式三大关键领域,同时释放未来政策变化信号,每一项调整都直接利好申请人:
此前,18-25 岁的附属申请人需满足 “全日制就读于公认中学或高等教育机构” 的强制要求,且需证明经济完全依赖主申请人,这让处于待业、Gap Year、自由职业或职业培训阶段的子女无法随行申请。 2025 年新政彻底废除这一限制:成年附属申请人(18-30 岁)无需提供学历证明,仅需通过银行对账单、经济支持证明或宣誓书等材料,证明主要经济来源依赖主申请人即可。 这一调整彻底解决了 “非在校青年” 的申请难题,让家庭身份规划更具包容性。
原政策中,主申请人可携带的附属子女需未满 25 周岁且经济依赖父母,而当下社会中,25-30 岁的青年常处于硕士 / 博士攻读阶段,或初入职场薪资较低、暂无法经济独立,此前因年龄限制只能错失随行机会。 新政将附属子女年龄上限直接提升至 30 岁(需在 30 岁生日前提交申请),同时明确符合条件的附属申请人定义为 “18-30 岁、未婚且主要经济依赖主申请人的子女”,完美适配现代家庭的年龄结构,让更多家庭成员能同步获得身份。
Saturn 数字平台上线,审批提速 40%:圣基茨移民局正式启用 Saturn 数字审核平台,通过数字化材料提交、自动化信息核验优化流程,官方预计审批时间将减少 40%,大幅缩短申请人的等待周期,提升办理体验。
加密货币投资渠道开放:此前项目仅接受传统货币投资,2025 年新政首次允许以加密货币形式参与投资,具体实施细则预计于 2026 年公布。这一创新举措贴合全球高净值人群的资产配置习惯,为投资方式提供更多选择。
据圣基茨投资移民局理事会主席透露,2026 年第二季度起,CBI 计划可能新增 “5 年内累计住满 30 天(无需连续)” 的居住要求。 这意味着,当前 “无居住要求、无需登陆、无移民监” 的政策仅剩不到一年窗口期。 对于业务繁忙的企业家、高净值人士而言,未来居住要求将额外增加时间与经济成本;而现在申请,既能享受放宽的附属申请人政策,又能规避后续居住限制,无疑是 “黄金机遇期”。
Abdelrahman Hamdy(ClientReferrals):年龄放宽与学历取消,为家庭申请提供了更大灵活性,而 “经济依赖证明” 的保留又保障了申请规范;加上数字平台提速,让项目在 “便利度” 与 “严谨性” 上实现平衡,更能打动家庭类申请人。 Serhan Aysever(Beyond Global Partners 合伙人):这些调整极具正面意义,尤其对部分文化或经济背景下,子女延迟教育、长期依赖家庭的申请人来说,门槛大幅降低。同时,加密货币投资的开放的和数字审核的落地,让项目更贴合全球高净值人群的需求,能显著增强其在加勒比及国际市场的竞争力。 Nick Stevens(NTL Trust 首席执行官):改革背后有明确的 “竞争压力”,“能否纳入更多家庭成员” 是许多客户选择 CBI 项目的核心因素。此前,处于学业间隙、非官方职业培训的青年无法申请,新政恰好解决了这一痛点;而未来居住要求的预告,也让当前成为申请 “红利期”,预计会带动一波申请热潮。
值得注意的是,此次升级恰逢东加勒比投资入籍监管局(ECCIRA)2025 年 9 月启动前夕,被视为圣基茨与尼维斯 “抢先布局” 的战略举措。
通过优化家庭友好性、提升流程效率、创新投资形式,提前巩固区域市场优势,也为全球寻求第二公民身份的家庭提供更优选择。

主申请人年满 18 周岁; 无犯罪记录,且按要求提供真实、准确的申请资料与文件; 满足任一投资选项(加密货币投资细则待 2026 年公布): 可持续岛国贡献捐赠25万美元(4人内); 投资经批准的房产32.5万美元(7年可售); 投资经批准的私人住宅,公寓32.5万美元,单套房产60万美元(7年可售) 公共利益类别25万美元+政府费。 可携带家庭成员:配偶、18-30 岁未婚且经济依赖主申的子女、18 岁以下子女、身心障碍成年子女、55 岁以上父母及祖父母。
隐私保护升级:圣基茨与中国大陆未建交,身份信息不纳入 CRS(共同申报准则)信息交换,有效阻断身份与境外资产的关联,为资产配置提供隐私保障。
“零税天堂” 优势:对个人不征收所得税、资本利得税、遗产税、赠与税等,且被欧盟列入 “白名单”,税务政策合规,便于全球资产管理与财富传承。
高通行自由度:护照可免签 168 个国家和地区,叠加落地签覆盖全球 182 地,包括英国、欧盟申根区、加拿大、新加坡等核心商务与旅游目的地,跨境出行无需提前申请签证。
政策 41 年稳定:投资入籍计划自 1984 年启动,是全球运行时间最长的 CBI 项目之一,法律基础牢固,审批流程透明,当前仍无需面试、语言或居住要求。
家庭友好属性:可同步为配偶、多代子女、父母及祖父母办理身份,满足 “一人申请,全家获身份” 的家庭规划需求。
教育与商务便利:子女可凭圣基茨身份在英国免签接受英式教育,毕业后可直接在当地工作;持有人也可凭护照在全球多地开展商务活动,降低跨境经营门槛。

时代出国深耕全球移民领域多年,凭借专业的政策解读能力、定制化的申请方案及全程贴心的服务,已协助众多家庭顺利实现海外身份规划。
针对圣基茨与尼维斯等热门 CBI 项目,时代出国可提供从资格评估、材料筹备、数字平台操作指导到流程跟进的全链条支持,尤其能结合当前新政优势与窗口期特点,为申请人制定高效、稳妥的方案,助力家庭抓住政策 “甜蜜期”,顺利达成身份规划目标。

